ELEMENTARY CURVES

Curve (curve arch or segment) is any non-empty subset of space, which is a continuous image of an interval in real numbers. Analytic representation of curve is a vector function

r(u) = (x(u), y(u), z(u)), uI R

defined, continuous and at least once differentiable on I. Curve is a hodograph of this vector function r(u).
Value of the vector function for a
I is the position vector r(a) = (x(a), y(a), z(a)) of point P(a) on curve.
Number aI is called parametric - curvilinear coordinate of point P(a), representing its position on curve. Functions x(u), y(u), z(u) are coordinate functions.

Viviani curve is the trajectory of a point in the movement composed from two revolutions - about coordinate axis z and simultaneously about coordinate axis x.


If I is a closed interval, we speak about curve arc or curve segment. In computer processing it is usefull to parametrise curve segments on a unit interval I = <0, 1>. Vector function determines orientation of the curve segment, curvilinear coordinate of the start point is 0, of the end point is 1.
Curve segment is called closed, if P(0) = P(1).
If there exist two different real numbers a, bI, satisfying relation r(a) = r(b), which means that curve point determined by curvilinear coordinate "a" and point determined by curviliner coordinate "b" coincide, then P(a) = P(b) is called a double point of the curve. If there exist n such real numbers in interval I, point is called n-multiple point.

Analytic representation of curve – vector function r(u) = (x(u), y(u), z(u)) for uI is equivalent
to parametric equations of curve

x = x(u), y = y(u), z = z(u) , uI

Derivative r´(u) = ((u), (u),(u)) of vector function r(u) is vector function representing for aI direction vector of tangent to curve at the point P(a)

r´(a) = ((a), (a),(a)).

Orientation of this vector is the same as orientation of curve arc at the point P(a). Point on curve, at which the orientation of the tangent direction vector is changing, is called cuspidal point.
Line determined by point P(a) and direction vektor (a) is tangent to the curve.
Point on curve at which the tangent direction vector is a non-zero vector is called a regular point.
If r´(a) = 0, point P(a) is a singular point.
Regular point on curve is called a point of inflection, if the second derivative of the curve vector function is vanishing at this ploint

r´´(a) = (x´´(a), y´´(a), z´´(a)) = 0.

Properties of curve represented at its regular points by means of derivatives of the curve vector function, and by length of vectors r´(a), r´´(a), or r´´´(a), are called intrinsic (geometric) properties.

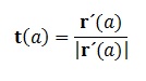
Unit tangent vector t(a) at the curve regular point P(a) is represented by formula

Unit binormal vector b(a) is determined as vector product of the first and the second derivative of the curve vector equation r(u) at the curve regular point P(a)

Line determined by point P(a) and direction vector b(a) is binormal.

Unit (principal) normal vector n(a) at the curve regular point P(a) is a vector product of unit binormal and unit tangent vector

n(a) = b(a) x t(a)

Line determined by point P(a) and direction vector n(a) is principal normal.

At any curve regular point P(a) there exist three perpendicular unit vectors

t(a) ⊥ b(a) ⊥ n(a) ⊥ t(a)

determining three perpendicular lines, tbnt, with common point P(a).
Any two of them determine a plane.
All planes passing throught tangent t are tangent planes to curve at the point P(a).
Osculating plane ω is determined by tangent and normal, ω = tn.
Rectification plane ρ is determined by tangent and bionormal, ρ = tb.
Normal and binormal determine normal plane ν = nb.
Planes ω, ρ a ν are perpendicular to each other, they have one common point P(a) and any two of them intersect in a common line - tangent, normal or binormal.

Frenet-Serret moving trihedron at the curve regular point P(a) is a geometric figure uniquely determined as intersection of three half-spaces with boundary planes ω, ρ, ν and direction vectors b, n, t (in given order). Edges are half-lines with common start point at the trighedron vertex P(a).
At the neighbourhood of point P(a), a small curve segment is located inside the respective F-S trihedron. Intrinsic properties of curve on neighbourhood of point P(a) are represented by F-S trihedron elements.


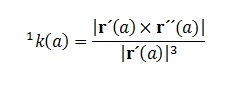
Deviation od curve from its tangent at point P(a) is expressed as the first curvature of curveflexion.
it is a non-zero number 1k evaluated by formula

At the curve point of inflection holds 1k = 0. If 1k = 0 at all curve segment regular points, it is a line segment.
Line is a curve with vanishing first curvature, circle is a curve with constant first curvature.

Radius of the first curvature at the point P(a) is number 1ρ = 1/1k, for 1k 0.
In case of 1k = 0 the radius is infinitely large.

Osculting circle of curve k at the regular point P(a) is located in the osculating plane ω .
Centre of this circle is point 1S (centre of the first curvature) at the normal, lying on the half-line with the start point at point P(a) and direction vector n(a), in the distance determined by radius of the first curvature I1SP(a)I = 1ρ at point P(a). Osculating circle coincides with the curve on the neighbourhood of point P(a).

Deviation of curve from the osculating plane at the non-inflection point P(a) is expressed as the second curvature of curve – torsion 2k.
This number is evaluated by formula

At the curve point of inflection is 2k = 0. If 2k = 0 at all points on curve, curve is entirely located in one osculating plane, it is a planar curve.
Line is a curve with zero flection and torsion.
Circle is a curve with constant (non-zero) first curvature and constant (zero) second curvature.
Helix is a curve with constant non-zero curvatures.

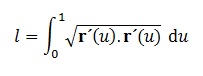
Rectification of a curve segment is development of curve at the neighbourhood of its regular point P(a) to the rectification plane at this point. Construction used to find a curve segment length is also called rectification. Curve segment length has to be calculated by formula

Degree of a curve is natural number equal to maximal number of possible curve intersections with a line.
Line is curve of the first degree, conic sections are curves of the second degree – quadratic curves.
Curves having at most three possible intersetions with a line are curves of the third degree – cubics, etc.

    1. Conic sections
    2. Cycloidal curves
    3. Helices
    4. Interpolation curves

D. Velichová, 3DGeometry